Россия
Россия
Россия
УДК 69.05 Строительная площадка. Оборудование, организация и технология строительства. Индустриальное строительство. Монтаж. Испытания на строительной площадке. Строительные повреждения. Срок службы сооружений. Уход за сооружениями
В статье рассмотрены особенности организации строительного производства при возведении объектов из высокопрочных бетонов (ВБ). Технологическая чувствительность данных материалов обусловливает необходимость разработки специализированного инструментария для принятия организационных решений на всех уровнях жизненного цикла инвестиционно-строительного процесса. Цель исследования состоит в разработке алгоритма организационно-технологического анализа строительного производства, позволяющего структурировать процедуру подготовки и принятия решений при организации работ с применением высокопрочных бетонов. Методология исследования основана на системном и процессном подходах к организации строительного производства, методах декомпозиции, анализа иерархий и организационно-технологического моделирования. Формирование алгоритма осуществлялось на основе структурирования жизненного цикла инвестиционно-строительного проекта по иерархии «фаза – стадия – этап». В статье показано, что отсутствие формализованного алгоритма учета специфики ВБ усложняет процесс принятия организационных решений и снижает управляемость строительного производства. Разработанный алгоритм позволяет повысить обоснованность организационно-технологических решений. Апробация алгоритма на объекте строительства с применением бетона класса В60 подтвердила его эффективность: сокращение продолжительности подготовительного периода на 15%, отсутствие простоев и затрат на исправление дефектов. Теоретическая значимость исследования заключается в развитии методологии организационно-технологического анализа применительно к материалам с повышенной технологической чувствительностью на основе трехуровневой иерархии жизненного цикла. Практическая значимость – в возможности использования алгоритма проектными и строительными организациями для повышения качества подготовки производства, сокращения сроков и обеспечения бездефектного возведения конструкций из высокопрочных бетонов.
организация строительного производства, высокопрочные бетоны, алгоритм, организационно-технологический анализ, жизненный цикл проекта, метод анализа иерархий
Введение
Современная практика возведения уникальных и высотных объектов характеризуется расширением применения высокопрочных бетонов (ВБ) классов В60 и выше [1,2,3]. Использование ВБ позволяет обеспечивать требуемые прочностные характеристики [1,4] конструкций при оптимизации их сечений и снижении массы возводимых объектов. Высокопрочные бетоны обладают повышенной технологической чувствительностью [1,4,5,6,7]: ограниченным временем сохранения подвижности (для В 60 –60- 120 мин, В80 – 60-75 мин, для В100 – 45-60 мин), интенсивным тепловыделением, критичностью к параметрам транспортировки, укладки и ухода за бетоном. Указанные особенности усложняют процессы организации строительного производства [8,9]. Нарушение временных параметров подачи смеси, несогласованность логистики, ошибки в планировании захваток и режимов бетонирования приводят к отклонениям от проектных характеристик [5,8,10] и увеличению сроков выполнения работ. В существующей практике организационно-технологические решения по бетонным работам ориентированы на традиционные составы и не предусматривают формализованной процедуры анализа [9,11,12,13] применительно к высокопрочным бетонам. Принятие решений осуществляется по отдельным стадиям без системной увязки, что затрудняет выявление этапов, наиболее чувствительных к технологической специфике ВБ.
Таким образом, актуальной задачей является разработка алгоритма организационно-технологического анализа, обеспечивающего системное обоснование решений при возведении объектов из ВБ.
Областью исследования являются методы организации строительного производства и организационно-технологического проектирования при возведении объектов с применением ВБ.
Предметом исследования являются организационно-технологические процессы и связи на этапах жизненного цикла проекта при использовании ВБ.
Цель исследования – разработка и апробация алгоритма организационно-технологического анализа, основанного на идентификации и детальной проработке этапов жизненного цикла, наиболее чувствительных к специфике ВБ.
Гипотеза: предварительная идентификация критически значимых этапов методом анализа иерархий и их последующая организационно-технологическая проработка позволят повысить согласованность решений и снизить вероятность отклонений [14,15].
Научная новизна заключается в разработке алгоритма, основанного на трехуровневой декомпозиции жизненного цикла («фаза – стадия – этап») и использовании метода анализа иерархий для выявления этапов, критически значимых для применения ВБ, с последующей их детальной проработкой.
Практическое значение – возможность применения алгоритма для повышения обоснованности решений, сокращения сроков планирования и подготовительного периода.
Материалы и методы
Методологической основой исследования является системный подход [8,9,11] к организации строительного производства, в рамках которого процесс возведения объектов с применением высокопрочных бетонов рассматривается как совокупность взаимосвязанных организационно-технологических процессов, реализуемых на различных уровнях жизненного цикла инвестиционно-строительного проекта.
В рамках системного подхода применён метод декомпозиции [9,11], для структурирования жизненного цикла по иерархии «фаза – стадия – этап» (выделены 4 фазы, внутри них – стадии и этапы).
Для идентификации этапов, наиболее чувствительных к технологической специфике высокопрочных бетонов, использован метод анализа иерархий (МАИ) [14,15]. Метод позволил сформировать иерархическую модель принятия решений, целью которой является выявление этапов жизненного цикла, критически значимых при применении ВБ.
- критерии оценки (К1- влияние на свойства бетона, К2 - чувствительность к временным параметрам, К3- влияние на продолжительность строительства, К4-сложность контроля);
- альтернативы— 47 этапов жизненного цикла проекта.
Экспертная группа из 5 специалистов выполнила попарные сравнения по шкале Саати. Рассчитывались векторы приоритетов, индекс и отношение согласованности (ОС<0,1)[11].
Для детальной проработки выявленных значимых этапов применён метод организационно-технологического моделирования [9,12,13], предусматривающий построение логических моделей процессов с определением: состава задач, ответственных участников, входной и выходной информации, взаимосвязей между этапами.
При разработке параметров строительного потока для этапов, связанных с бетонированием конструкций из ВБ, использованы методы поточной организации строительства [8,9]. Выполнялись расчёты допустимого времени укладки смеси на захватке, требуемой интенсивности подачи, минимального размера захватки и шага потока с учётом времени сохранения подвижности смеси и условий строительной площадки.
Анализ нормативно-технической документации проводился с учётом требований действующих сводов правил и стандартов, включая СП 48.13330.2019 «Организация строительства», СП 63.13330.2018 «Бетонные и железобетонные конструкции», СП 468.1325800.2019 «Конструкции из высокопрочного бетона», а также ГОСТ 26633–2015 «Бетоны тяжелые и мелкозернистые» [16,5,6,8].
Апробация разработанного алгоритма осуществлялась на объекте строительства с применением высокопрочного бетона класса В60. В ходе апробации фиксировались фактические показатели продолжительности этапов, наличие простоев, количество корректировок организационно-технологической документации и затраты на устранение дефектов.
Результаты и обсуждение
На первом этапе исследования выполнен системный анализ жизненного цикла инвестиционно-строительного проекта [8,9] применительно к возведению объектов из высокопрочных бетонов. Процесс строительства был рассмотрен как целостная организационно-технологическая система, включающая взаимосвязанные фазы, стадии и этапы.
Анализ показал, что не все традиционно выделяемые стадии жизненного цикла оказывают влияние на специфику применения высокопрочных бетонов. Часть стадий не формирует дополнительных технологических ограничений и не изменяет организационную структуру строительного производства. В связи с этим была выполнена первичная фильтрация: из общей структуры исключены стадии, не связанные с технологической чувствительностью высокопрочных бетонов.
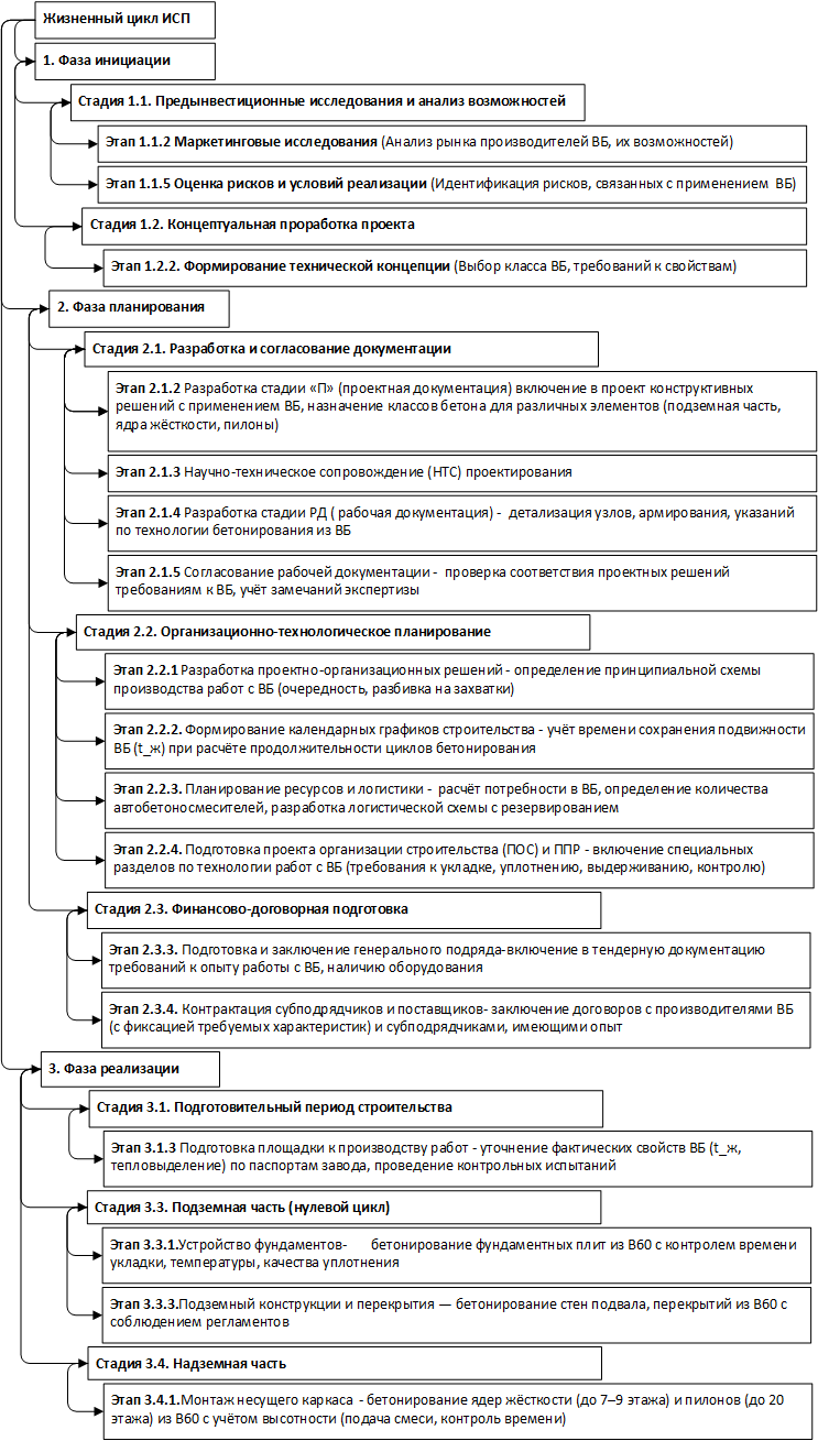
В результате сформирована уточнённая иерархическая модель жизненного цикла, включающая четыре фазы — инициацию, планирование, реализацию и завершение — и только те стадии, которые оказывают влияние на параметры подготовки и выполнения бетонных работ. Полученная структура представлена на рисунке 1.

Рис. 1 Иерархическая структура жизненного цикла инвестиционно-строительного проекта (после системного анализа)
После формирования уточнённой структуры жизненного цикла был выполнен количественный анализ значимости отдельных этапов. Для этого применён метод анализа иерархий, в качестве критериев оценки рассматривались влияние этапа на обеспечение требуемых свойств бетона (К1) [1,5,4,7], чувствительность к временным параметрам технологического цикла (К2) [5,6], воздействие на общую продолжительность строительства (К3) [8], уровень организационной сложности и риск возникновения отклонений (К4) [9,10]. Экспертная оценка проводилась по шкале попарных сравнений с последующей проверкой согласованности матриц.
Для каждой матрицы парных сравнений рассчитывались вектор приоритетов, индекс согласованности (ИС) и отношение согласованности (ОС) по стандартным формулам. Значения ОС для всех матриц не превысили 0,1 [14], что подтверждает приемлемую согласованность экспертных суждений. Расчёт глобальных приоритетов позволил выделить этапы, оказывающие наибольшее влияние на специфику применения высокопрочных бетонов. На рисунке 2 представлена корреляционная матрица, иллюстрирующая взаимосвязь между критериями оценки (К1- К4) и глобальными приоритетами этапов.

Рис.2 Корреляционная матрица взаимосвязи критериев оценки (К1-К4) и глобального приоритетов этапов
Корреляционная матрица подтверждает сильную положительную связь всех четырёх критериев с глобальным приоритетом этапов. Наибольший коэффициент корреляции соответствует критерию К3 (0,98), что указывает на определяющее влияние продолжительности строительства на итоговый приоритет. Высокие значения К2 (0,86) и К4 (0,85) также подтверждают значимость временных параметров и сложности контроля, что полностью согласуется с экспертными оценками, полученными на этапе ранжирования.
В отличие от предыдущего этапа исследования, где исключались целые стадии, здесь была выполнена более тонкая фильтрация – на уровне отдельных операций. В результате из общей совокупности 47 этапов отобраны 17 этапов, которые требуют специальной организационно-технологической проработки. Фрагмент результатов ранжирования представлен в таблице 1, а выделенные значимые этапы показаны на рисунке 3.
Таблица 1
Результаты ранжирования этапов по глобальному приоритету (фрагмент)
|
№ |
Этап |
Наименование этапа |
К1 |
К2 |
К3 |
К4 |
Глобальный |
Ранг |
|
1 |
2.2.2. |
Формирование |
0,089 |
0,124 |
0,093 |
0,076 |
0,095 |
1 |
|
2 |
2.2.3. |
Планирование |
0,076 |
0,112 |
0,087 |
0,082 |
0,087 |
2 |
|
3 |
3.1.3. |
Подготовка площадки |
0,068 |
0,108 |
0,079 |
0,071 |
0,080 |
3 |
|
4 |
2.1.2. |
Разработка стадии «П» |
0,092 |
0,054 |
0,068 |
0,093 |
0,079 |
4 |
|
5 |
3.3.1. |
Устройство фундаментов |
0,084 |
0,076 |
0,072 |
0,064 |
0,076 |
5 |
|
… |
… |
… |
… |
… |
… |
… |
… |
… |
|
17 |
1.2.2. |
Формирование |
0,047 |
0,048 |
0,048 |
0,047 |
0,048 |
17 |

Рис.3. Результаты идентификации значимых этапов (на основе МАИ)
Этапы, относящиеся к фазе завершения (стадии 4.1- 4.3), не вошли в число значимых (глобальный приоритет менее 0,01), что подтверждает их несущественность для специфики ВБ [13,17]. Остальные этапы (например, 1.1.1, 1.1.3, 3.1.1, 3.2.1–3.2.3 и др.) признаны неспецифичными для ВБ – и не требуют дополнительной проработки. Таким образом, сформирована двухступенчатая процедура отбора: сначала структурное уточнение жизненного цикла на основе системного анализа (исключение целых стадий), затем ранжирование и выделение критически значимых этапов методом анализа иерархий.
Для выделенных 17 значимых этапов выполнена детальная проработка методом организационно-технологического моделирования. Для каждого этапа определены состав задач с учётом специфики ВБ, ответственные, входная/выходная информация, методы. Фрагмент детализации приведён в таблице 2.
Таблица 2
Детализация значимых этапов (фрагмент)
|
Этап |
Наименование |
Состав задач с учётом ВБ |
Ответственные |
Входная информация |
Выходная информация |
Методы |
|
2.2.2. |
Формирование |
Учёт t_ж при расчёте |
ПТО, |
Объёмы работ, |
Календарный график |
Сетевое |
|
2.2.3. |
Планирование |
Расчёт потребности |
ПТО, |
t_ж, |
План поставок, |
Логистическое |
|
3.1.3. |
Подготовка площадки |
Уточнение фактических |
Технолог, |
Паспортные |
Подтверждение свойств, |
Лабораторные |
Особое внимание уделено этапам, связанным с расчётом параметров строительного потока для бетонирования конструкций из ВБ [16,5,8]. На этапе 3.1.3 (подготовка площадки к производству работ) выполнялись следующие расчёты:
- допустимое время укладки на захватке: ,
- требуемая интенсивность подачи смеси: ,
- минимальный размер захватки из условия непрерывности бетонирования:
- шаг потока:
где – время сохранения подвижности смеси (по паспорту завода), мин;
– время транспортировки, мин;
– время на маневры и перестановку оборудования (10–15 мин);
– объём бетона на захватке, м³;
– производительность бетононасоса, м³/ч;
– рациональный размер захватки, м² (в диапазоне от до по условию тепловыделения);
– производительность звена бетонщиков, м²/смену.
Проведённые расчёты показали, что параметры организационной подготовки – график подачи, размер захватки и согласование интенсивности потока – оказывают решающее влияние на стабильность процесса. На основе этой детализации был собран общий алгоритм организационно-технологического анализа (рисунок 4), охватывающий фазы инициации, планирования, реализации.

Рис. 4. Общий алгоритм организационно-технологического анализа
Разработанный алгоритм был применён при строительстве– многофункционального комплекса, в условиях плотной городской застройки. Высокопрочный бетон класса В60 применялся в подземной части зданий. Сравнение показателей до и после внедрения алгоритма приведено в таблице 3.
Таблица 3
Результаты апробации алгоритма
|
Параметр |
Без применения |
С применением |
Методика расчёта |
|
Продолжительность фазы планирования (в части разработки решений по ВБ) |
65 дней |
52 дня (сокращение на 20%) |
Фиксировалась фактическая продолжительность |
|
Продолжительность подготовительного периода (стадия 3.1) |
45 дней |
38 дней (сокращение на 15%) |
Фиксировалась фактическая продолжительность этапов 3.1.1–3.1.3 по журналам производства работ |
|
Наличие корректировок в ходе строительства |
7 |
2 |
Количество зарегистрированных изменений в ППР и технологических картах |
|
Простои из-за несогласованности поставок ВБ |
4 смены |
0 смен |
Фиксировалось время ожидания поставок ВБ сверх нормативного (смены) |
|
Соответствие проектных и фактических сроков |
0,87 |
0,98 |
Отношение фактической продолжительности этапов к плановой (по календарному графику) |
|
Затраты на исправление дефектов |
380 тыс. руб. |
0 руб. |
Фактические затраты на устранение брака (демонтаж/переделка конструкций) |
Расчёт экономического эффекта от внедрения алгоритма:
Применение двухступенчатой процедуры (системный анализ + МАИ) позволило объективно выделить из 47 этапов 17 критически значимых для применения ВБ. Расчётные значения ОС<0,1 подтверждают достоверность экспертных оценок. Включение стадии 2.1 в число значимых соответствует практике, поскольку именно здесь формируются проектные решения, определяющие возможность применения ВБ. Исключение фазы завершения подтверждено низкими значениями глобальных приоритетов (<0,01).
Разработанный алгоритм позволяет сконцентрировать ресурсы на критических точках и обеспечить преемственность решений. Расчётные зависимости для параметров потока, адаптированные к ограниченному времени жизнеспособности смеси, обеспечивают непрерывность бетонирования и исключают образование «холодных» швов [5,6,4]. Полученные результаты согласуются с выводами исследований о необходимости учёта технологической чувствительности ВБ на этапах планирования и подготовки производства.
Практическая апробация подтвердила эффективность алгоритма [10,13]: сокращение сроков на 20% и 15%, отсутствие простоев и дефектов, соответствие проектных и фактических параметров (98%). Результаты подтверждают выдвинутую гипотезу. Дальнейшие исследования целесообразно направить на адаптацию алгоритма для В100 и выше и интеграцию с BIM.
Заключение
В результате системного анализа и декомпозиции жизненного цикла инвестиционно-строительного проекта выделены четыре основные фазы (инициация, планирование, реализация, завершение) и соответствующие им стадии, что позволило структурировать организационно-технологические задачи при возведении объектов из высокопрочных бетонов.
С применением метода анализа иерархий (МАИ) из 47 этапов жизненного цикла идентифицированы 17 этапов, критически значимых для обеспечения качества и сроков при применении ВБ. Установлено, что этапы фазы завершения не оказывают существенного влияния на специфику работ с ВБ и могут выполняться по стандартным регламентам.
Для идентифицированных значимых этапов с использованием организационно-технологического моделирования разработан алгоритм, регламентирующий последовательность выполнения задач, состав участников, входную и выходную информацию, а также методы контроля с учётом технологической чувствительности ВБ. Приведены расчётные зависимости для определения параметров строительного потока (допустимого времени укладки, интенсивности подачи смеси, размеров захваток, шага потока).
Апробация разработанного алгоритма на объекте строительства с применением бетона класса В60 подтвердила его эффективность: сокращение продолжительности фазы планирования на 20%, подготовительного периода на 15%, отсутствие простоев и затрат на исправление дефектов, достижение проектных прочностных характеристик.
Практическое использование предложенного алгоритма позволяет повысить обоснованность организационно-технологических решений, обеспечить устойчивость строительного производства и снизить риски при возведении объектов из высокопрочных бетонов.
1. Баженов Ю. М., Алимов Л. А., Воронин В. В. Технология бетона, строительных изделий и конструкций / Ю. М. Баженов, Л. А. Алимов, В. В. Воронин. — Москва : АСВ, 2020. — 172 с. — ISBN 978-5-4323-0029-4.
2. СП 63.13330.2018. Бетонные и железобетонные конструкции. Основные положения / Минстрой России. — Москва, 2018. — 211 с.
3. СП 468.1325800.2019. Конструкции из высокопрочного бетона / Минстрой России. — Москва, 2019. — 78 с.
4. ГОСТ 26633–2015. Бетоны тяжёлые и мелкозернистые. Технические условия / Стандартинформ. — Москва, 2019. — 37 с.
5. Лавров И. Ю., Береговой В. А. Высокофункциональные бетоны для промышленного строительства и машиностроения // Строительные материалы. — 2024. — №12. — С. 42–48. — DOIhttps://doi.org/10.31659/0585-430X-2024-831-12-42-48. EDN: https://elibrary.ru/XKCEOG
6. Муртазаев С.-А. Ю., Саламанова М. Ш. Высококачественные бетоны для монолитного строительства // Экономика строительства и природопользования. — 2018. — №4 (69). — С. 137–142. EDN: https://elibrary.ru/ZAQMNV
7. СП 48.13330.2019. Организация строительства / Минстрой России. — Москва, 2019. — 145 с.
8. Теличенко В. И., Терентьев О. М., Лапидус А. А. Технология возведения зданий и сооружений: учебник для студентов высших учебных заведений, обучающихся по направлению подготовки дипломированных специалистов «Строительство» / В. И. Теличенко, О. М. Терентьев, А. А. Лапидус. — Изд. 3-е, стереотипное. — Москва: Высшая школа, 2006. — 445, с. — ISBN 5-06-004441-6.
9. Небритов Б. Н. Организационно-технологическое проектирование: учебное пособие / Б. Н. Небритов; М-во образования и науки Российской Федерации, Федеральное агентство по образованию, Гос. образовательное учреждение высш. проф. образования «Ростовский гос. строит. ун-т». — Ростов-на-Дону: Ростовский гос. строит. ун-т, 2009. — 127 с.: ил., табл.; 21 см. EDN: https://elibrary.ru/QNOJYD
10. Топчий Д. В. Организационно-технологическое моделирование строительно-монтажных работ при комплексной оценке результативности перепрофилирования промышленных объектов: дис. ... кандидата технических наук: 05.02.22 / Топчий Дмитрий Владимирович; [Место защиты: Моск. гос. строит. ун-т]. — Москва, 2015. — 119 с.: ил. EDN: https://elibrary.ru/SMKTDK
11. Саати, Томас Л. Принятие решений: метод анализа иерархий / Т. Саати; пер. с англ. Р. Г. Вачнадзе. — Москва: Радио и связь, 1993. — 314, с. : ил.; 20 см. — ISBN 5-256-00443-3.
12. Mustafa, M.A., Al-Bahar, J.F. Project risk assessment using the analytic hierarchy process // IEEE Transactions on Engineering Management. — 1991. — Vol. 38, No. 1. — P. 46–52.
13. Zhao X., Hwang B. G., Phng W. Construction project risk management in Singapore: Resources, effectiveness, impact, and understanding // KSCE Journal of Civil Engineering. — 2014. — Vol. 18, No. 1. — P. 27–36. — DOI:https://doi.org/10.1007/s12205-014-0045-x. EDN: https://elibrary.ru/QODXWC
14. Abbas, S., Nehdi, M. L. & Saleem, M. A. Ultra-High Performance Concrete: Mechanical Performance, Durability, Sustainability and Implementation Challenges // Int. J. Concr. Struct. Mater. — 2016. — Vol. 10. — P. 271–295. DOI: https://doi.org/10.1007/s40069-016-0157-4
15. Akhnoukh A. K., Elia H. Developing high performance concrete for precast/prestressed concrete industry // Case Studies in Construction Materials. — 2019. — Vol. 11. — P. e00290. — DOI:https://doi.org/10.1016/j.cscm.2019.e00290
16. Адамцевич, Алексей Олегович. Оптимизация организации производственных процессов монолитного строительства с учётом факторов внешней среды: диссертация ... кандидата технических наук: 05.02.22 / Адамцевич Алексей Олегович; [Место защиты: ГОУВПО «Московский государственный строительный университет»]. — Москва, 2013. — 122 с.: 37
17. Sobuz M. H. R., Aditto F. S., Datta S. D., Kabbo M. K. I., Jabin J. A., Hasan N. M. S., Khan M. M. H., Rahman S. M. A., Raazi M., Zaman A. A. U. Z. High-Strength Self-Compacting Concrete Production Incorporating Supplementary Cementitious Materials: Experimental Evaluations and Machine Learning Modelling // International Journal of Concrete Structures and Materials. — 2024. — Vol. 18. — Art. 67. — DOI:https://doi.org/10.1186/s40069-024-00707-7. EDN: https://elibrary.ru/DTKAYA



